# Import data
survey <- read.csv("https://mac-stat.github.io/data/112_fall_2025_survey.csv")
# How many students have now filled out the survey?
# What type of variables do we have?4 Bivariate viz
- Review univariate viz ideas and code.
- Explore how to visualize relationships among 2 variables.
Watch:
- ggplot demo (Lisa Lendway)
- common ggplot mistakes(Lisa Lendway)
Read:
- Visualizing amounts (Wilke)
- Visualizing many distributions at once (Wilke)
4.1 Review
Let’s review some univariate concepts and code using our class survey data. If the answers aren’t at the top of your mind, don’t fret! We’ve barely started speaking this new language, and learned a ton of vocab last week, so you naturally won’t remember it all.
EXAMPLE 1: Hangout preferences
Students were asked, in that moment, where they’d most like to spend time outside. How did they answer? Was there a lot of agreement or a lot of variability in answers? Build and interpret a plot that helps address these questions while reviewing:
- “code as communication”
- connecting with the components of a plot:
- set up a frame
- add a layer / geometric element
- change the theme, e.g. axis labels, color, fill
# Attach a package needed to use the ggplot function
# Make a ggplot
EXAMPLE 2: Temperature preferences
Students were asked about their ideal outdoor temperature, in degrees Celsius. How did they answer? What was the typical response? What was the range in responses? Were there any outliers? Build and interpret 2 plots that help address these questions.
Bar charts & histograms can appear pretty similar, but they do different things.
- Bar charts count up the number of observations of each outcome of a variable. They’re good for categorical variables, or quantitative variables with only a handful of possible outcomes.
- Histograms count up the number of observations that fall into different numerical ranges of variable. They’re good for quantitative variables, especially those with many different observed outcomes.
4.2 New stuff
Thus far, we’ve been studying one variable at a time, using univariate plots. But once we get a sense of how individual variables behave on their own, our questions often turn to relationships among variables. For example, in our hikes data:
- How much
timedoes it take to complete a hike? ——> How istimerelated to a hike’selevation? What about itslength? - How does difficult
ratingvary from hike to hike? ——-> How is difficultyratingrelated to a hike’sascent?
Exploring relationships
When exploring relationships, the variables often take on specific roles:
- response variable: the variable whose variability we would like to explain (
timeto complete a hike) - predictors: variables that might explain some of the variability in the response (a hike’s
elevationorlength)
Visualizations can help explore:
- relationship trends (direction and form)
- relationship strength (degree of variability from the trend)
- outliers in the relationship
EXAMPLE 3
For each pair of variables below, sketch on paper a visualization of their relationship. Focus on general viz process, don’t worry about the exact details. The data here are totally made up.
- 3pm temperature (response) vs 9am temperature (predictor)
data.frame(temp_3pm = c(24, 26, 20, 15, 15, 15), temp_9am = c(14, 18, 15, 13, 11, 11)) temp_3pm temp_9am
1 24 14
2 26 18
3 20 15
4 15 13
5 15 11
6 15 11
- 3pm temperature (response) vs location (predictor)
weather <- data.frame(temp_3pm = c(24, 26, 20, 15, 15, 0, 40, 60, 57, 44, 51, 75),
location = rep(c("A", "B"), each = 6))
weather temp_3pm location
1 24 A
2 26 A
3 20 A
4 15 A
5 15 A
6 0 A
7 40 B
8 60 B
9 57 B
10 44 B
11 51 B
12 75 B
Think: How might we modify the below density plot of temp_3pm to distinguish between locations?
ggplot(weather, aes(x = temp_3pm)) +
geom_density()
rain_today(the response) andlocation(the predictor)
weather <- data.frame(rain_today = c("no", "no", "no", "no", "yes", "no", "yes", "no", "yes", "yes", "no", "yes"),
location = c(rep("A", 7), rep("B", 5)))
weather rain_today location
1 no A
2 no A
3 no A
4 no A
5 yes A
6 no A
7 yes A
8 no B
9 yes B
10 yes B
11 no B
12 yes B
Think: How might we modify the below bar plot of location to distinguish between days on which it did or didn’t rain?
ggplot(weather, aes(x = location)) +
geom_bar()
General guidance for building bivariate plots
As with univariate plots, an appropriate visualization for the relationship between 2 variables depends upon whether the variables are quantitative or categorical. In general:
- Each quantitative variable requires a new axis (or a quantitative scale if we run out of axes).
- Each categorical variable requires a new way to “group” the graphic (eg: using colors, shapes, separate facets, etc)
- For visualizations in which overlap in glyphs or plots obscures the patterns, try faceting or transparency.
4.3 Exercises (required)
Github user Tony McGovern has compiled and made available 2020/2016/2012 presidential election results for most of 3000+ U.S. counties, except Alaska. (Image: Wikimedia Commons)

A wrangled version of this data, is imported below, after being combined with:
- 2013 county-level demographics from the
df_county_demographicsdata set within thechoroplethrR package - historical voting trends in the state in which the county falls. red = consistently Republican, blue = consistently Democratic, purple = something in between (from https://www.270towin.com/content/blue-and-red-states)
# Load data
elections <- read.csv("https://mac-stat.github.io/data/election_2020_county.csv")
# Check it out
head(elections) state_name state_abbr historical county_name county_fips total_votes_20
1 Alabama AL red Autauga County 1001 27770
2 Alabama AL red Baldwin County 1003 109679
3 Alabama AL red Barbour County 1005 10518
4 Alabama AL red Bibb County 1007 9595
5 Alabama AL red Blount County 1009 27588
6 Alabama AL red Bullock County 1011 4613
repub_pct_20 dem_pct_20 winner_20 total_votes_16 repub_pct_16 dem_pct_16
1 71.44 27.02 repub 24661 73.44 23.96
2 76.17 22.41 repub 94090 77.35 19.57
3 53.45 45.79 repub 10390 52.27 46.66
4 78.43 20.70 repub 8748 76.97 21.42
5 89.57 9.57 repub 25384 89.85 8.47
6 24.84 74.70 dem 4701 24.23 75.09
winner_16 total_votes_12 repub_pct_12 dem_pct_12 winner_12 total_population
1 repub 23909 72.63 26.58 repub 54907
2 repub 84988 77.39 21.57 repub 187114
3 repub 11459 48.34 51.25 dem 27321
4 repub 8391 73.07 26.22 repub 22754
5 repub 23980 86.49 12.35 repub 57623
6 dem 5318 23.51 76.31 dem 10746
percent_white percent_black percent_asian percent_hispanic per_capita_income
1 76 18 1 2 24571
2 83 9 1 4 26766
3 46 46 0 5 16829
4 75 22 0 2 17427
5 88 1 0 8 20730
6 22 71 0 6 18628
median_rent median_age
1 668 37.5
2 693 41.5
3 382 38.3
4 351 39.4
5 403 39.6
6 276 39.6
We’ll use this data to explore voting outcomes within the U.S.’s 2-party system. Here’s a list of candidates by year:
| year | Republican candidate | Democratic candidate |
|---|---|---|
| 2020 | Donald Trump | Joe Biden |
| 2016 | Donald Trump | Hillary Clinton |
| 2012 | Mitt Romney | Barack Obama |
Goals
Use this data to explore how to build and interpret visualizations of bivariate, i.e. two variable, relationships.
Directions
Go slow! Don’t worry about memorizing the code yet, but do slow down to examine it, even if you’re not asked explicitly about the code. Think about:
- How the data variables are used in the plot.
- What
geomthe plot uses. - How color and fill work for the
geomyou’re using.
There are some coding “intuition checks” along the way. The goal here is to start connecting to and expanding upon the structure of our
ggplot()code. Don’t spend more than a few minutes trying these out. If you don’t get it, no problem! You can move on and learn the code in the next exercise.The goal is for every student to finish the required exercises before we meet again. After that, choose your own adventure!
- If you’re feeling like the required exercises gave you plenty to chew on, simply stop the activity. Go back and review the material you learned. You never need to think about the optional exercises.
- If you’re feeling like your brain still has some space after completing the required exercises, try the optional ones. These exercises are either “bonus” visualizations or intuition checks about some material coming up.
Exercise 0: Review
Part a
How many, or roughly what percent, of the 3000+ counties did the Republican candidate win in 2020?
- Take a guess.
- Then make a plot of the
winner_20variable. - Then discuss what follow-up questions you might have (and that our data might help us answer).
Part b
The repub_pct_20 variable provides more detail about the Republican support in each county. Construct a plot of repub_pct_20.
Notice that the distribution of Republican support from county to county is slightly left skewed or negatively skewed.
What follow-up questions do you have?
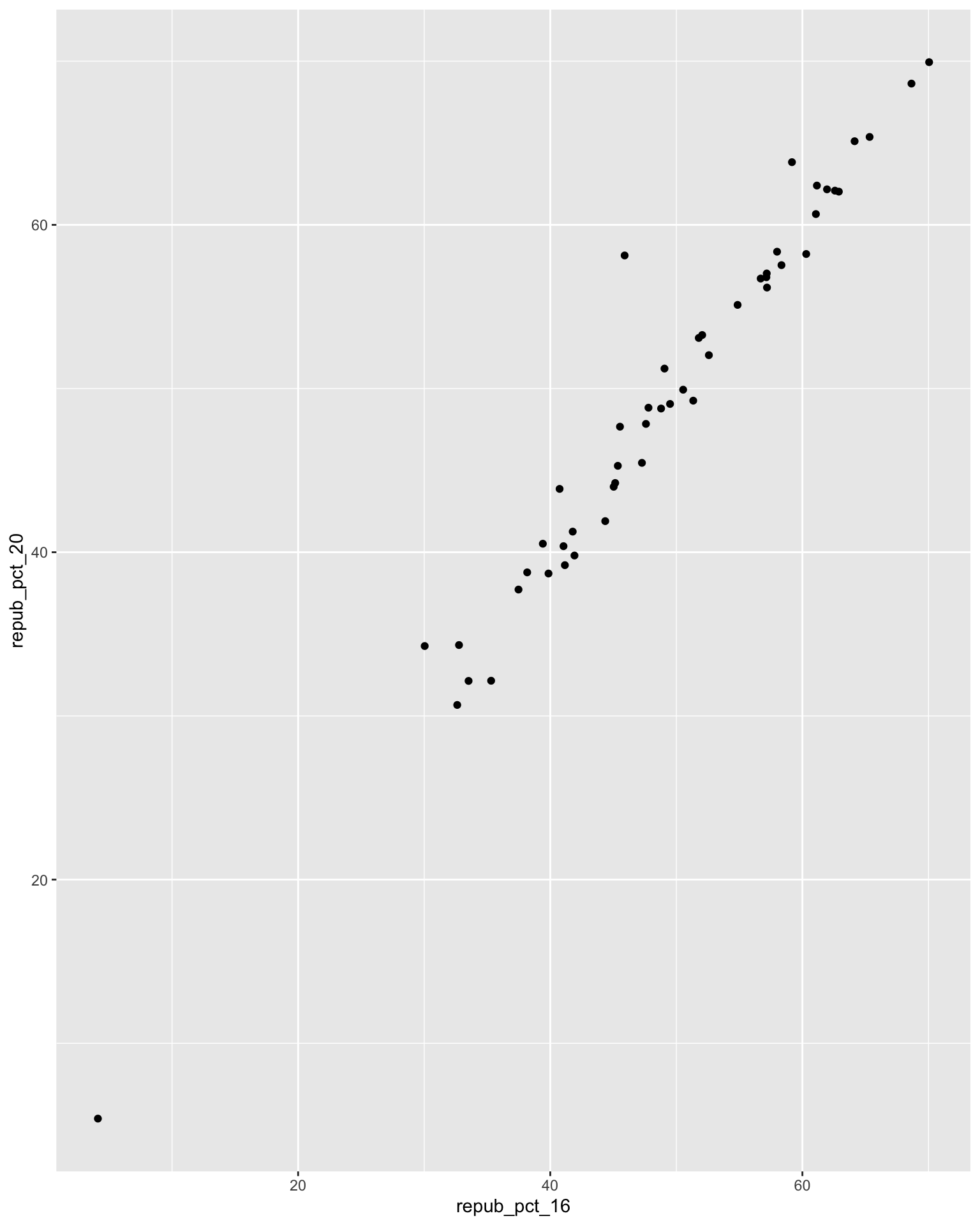
Exercise 1: quantitative vs quantitative intuition check
(Don’t spend more than 3 minutes on this!) Below is a scatterplot of the Republican support in 2020 vs 2016. Notice that:
- both variables are quantitative, and get their own axes
- the response variable is on the y-axis, demonstrating how
repub_pct_20might be predicted byrepub_pct_16, not vice versa
Try to replicate this using ggplot(). THINK:
- What info do you need to set up the canvas?
- What geometric layer (
geom_???) might add these dots / points for each county? We haven’t learned this yet, just take some guesses.

Exercise 2: 2 quantitative variables
Run each chunk below to build up a a scatterplot of repub_pct_20 vs repub_pct_16 with different glyphs representing each county. Address or think about any prompts in the comments (#).
# Set up the plotting frame
# How does this differ than the frame for our histogram of repub_pct_20 alone?
ggplot(elections, aes(y = repub_pct_20, x = repub_pct_16))# Add a layer of points for each county
# Take note of the geom!
ggplot(elections, aes(y = repub_pct_20, x = repub_pct_16)) +
geom_point()# Change the shape of the points
# What happens if you change the shape to another number?
ggplot(elections, aes(y = repub_pct_20, x = repub_pct_16)) +
geom_point(shape = 3)# YOU TRY: Modify the code to make the points "orange"
# NOTE: Try to anticipate if "color" or "fill" will be useful here. Then try both.
ggplot(elections, aes(y = repub_pct_20, x = repub_pct_16)) +
geom_point()
# Add a layer that represents each county by the state it's in
# Take note of the geom and the info it needs to run!
ggplot(elections, aes(y = repub_pct_20, x = repub_pct_16)) +
geom_text(aes(label = state_abbr))
Exercise 3: Reflect
Summarize the relationship between the Republican support in 2020 and 2016. Be sure to comment on:
- the strength of the relationship (weak/moderate/strong)
- the direction of the relationship (positive/negative)
- outliers (in what state do counties deviate from the national trend? Any ideas why this might be the case?)
Exercise 4: Visualizing trend
The trend of the relationship between repub_pct_20 and repub_pct_16 is clearly positive and (mostly) linear. We can highlight this trend by adding a model “smooth” to the plot:
ggplot(elections, aes(y = repub_pct_20, x = repub_pct_16)) +
geom_point() +
geom_smooth()Part a
Construct a new plot that contains the model smooth but does not include the individual point glyphs.
Part b
By default, geom_smooth() adds a smooth, localized model line. To examine the “best” linear model, we can specify method = "lm". It’s pretty similar in this example!
ggplot(elections, aes(y = repub_pct_20, x = repub_pct_16)) +
geom_point() +
geom_smooth(method = "lm")
Exercise 5: Your turn
To examine how the 2020 results are related to some county demographics, construct scatterplots of repub_pct_20 vs median_rent, and repub_pct_20 vs median_age. Summarize the relationship between these two variables and comment on which is the better predictor of repub_pct_20, median_rent or median_age.
# Scatterplot of repub_pct_20 vs median_rent
# Scatterplot of repub_pct_20 vs median_age
Exercise 6: A sad scatterplot
Next, let’s explore the relationship between a county’s 2020 Republican support repub_pct_20 and the historical political trends in its state. In this case repub_pct_20 is quantitative, but historical is categorical. Explain why a scatterplot might not be an effective visualization for exploring this relationship. (What questions does / doesn’t it help answer?)
ggplot(elections, aes(y = repub_pct_20, x = historical)) +
geom_point()
Exercise 7: quantitative vs categorical – violins & boxes
Though the above scatterplot did group the counties by historical category, it’s nearly impossible to pick out meaningful patterns in 2020 Republican support in each category. Let’s try adding 2 different geom layers to the frame:
# Side-by-side violin plots
ggplot(elections, aes(y = repub_pct_20, x = historical)) +
geom_violin()# Side-by-side boxplots (defined below)
ggplot(elections, aes(y = repub_pct_20, x = historical)) +
geom_boxplot()Box plots are constructed from five numbers - the minimum, 25th percentile, median, 75th percentile, and maximum value of a quantitative variable:

REFLECT:
Summarize what you’ve learned about the 2020 Republican county-level support within and between red/purple/blue states.
Exercise 8: quantitative vs categorical – intuition check
(Don’t spend more than 3 minutes on this!) We can also visualize the relationship between repub_pct_20 and historical using our familiar density plots. In the plot below, notice that we simply created a separate density plot for each historical category. (The plot itself is “bad” but we’ll fix it below.) Try to adjust the code chunk below, which starts with a density plot of repub_pct_20 alone, to re-create this image.

ggplot(elections, aes(x = repub_pct_20)) +
geom_density()
Exercise 9: quantitative vs categorical – density plots
Work through the chunks below and address the comments therein.
# Name two "bad" things about this plot
ggplot(elections, aes(x = repub_pct_20, fill = historical)) +
geom_density()# What does scale_fill_manual do?
ggplot(elections, aes(x = repub_pct_20, fill = historical)) +
geom_density() +
scale_fill_manual(values = c("blue", "purple", "red"))# What does alpha = 0.5 do?
# Play around with different values of alpha, between 0 and 1
ggplot(elections, aes(x = repub_pct_20, fill = historical)) +
geom_density(alpha = 0.5) +
scale_fill_manual(values = c("blue", "purple", "red"))# What does facet_wrap do?!
ggplot(elections, aes(x = repub_pct_20, fill = historical)) +
geom_density() +
scale_fill_manual(values = c("blue", "purple", "red")) +
facet_wrap(~ historical)# Let's try a similar grouping strategy with a histogram instead of density plot.
# Why is this terrible?
ggplot(elections, aes(x = repub_pct_20, fill = historical)) +
geom_histogram(color = "white") +
scale_fill_manual(values = c("blue", "purple", "red"))
Exercise 10
We’ve now learned 3 (of many) ways to visualize the relationship between a quantitative and categorical variable: side-by-side violins, boxplots, and density plots.
Which do you like best?
Name one pro of density plots relative to boxplots.
Name one con of density plots relative to boxplots.
Exercise 11: categorical vs categorical intuition check
Finally, let’s simply explore who won each county in 2020 (winner_20) and how this breaks down by historical voting trends in the state. That is, let’s explore the relationship between 2 categorical variables! Following the same themes as above, we can utilize grouping features such as fill/color or facets to distinguish between different categories of winner_20 and historical.
Spend at most 5 minutes on the following intuition check: adjust the code below to recreate the following two plots.

# Plot 1: adjust this to recreate the top plot
ggplot(elections, aes(x = historical)) +
geom_bar()
# Plot 2: adjust this to recreate the bottom plot
ggplot(elections, aes(x = winner_20)) +
geom_bar()
Exercise 12: categorical vs categorical
Construct the following 4 bar plot visualizations.
# A stacked bar plot
# How are the "historical" and "winner_20" variables mapped to the plot, i.e. what roles do they play?
ggplot(elections, aes(x = historical, fill = winner_20)) +
geom_bar()# A faceted bar plot
ggplot(elections, aes(x = winner_20)) +
geom_bar() +
facet_wrap(~ historical)# A side-by-side bar plot
# Note the new argument to geom_bar
ggplot(elections, aes(x = historical, fill = winner_20)) +
geom_bar(position = "dodge")# A proportional bar plot
# Note the new argument to geom_bar
ggplot(elections, aes(x = historical, fill = winner_20)) +
geom_bar(position = "fill")Part a
Name one pro and one con of using the “proportional bar plot” instead of one of the other three options.
Part b
What’s your favorite bar plot from part and why?
Exercise 13: Practice (now or later)
Decide what’s best for you:
- Try this extra practice now.
- Reflect on the above exercises and come back to this extra practice later (but before the next class).
Import some daily weather data from a few locations in Australia:
weather <- read.csv("https://mac-stat.github.io/data/weather_3_locations.csv")Construct plots that address the research questions in each chunk. You might make multiple plots (there are many ways to do things!), but don’t just throw spaghetti at the wall.
Reflect before doing anything. What types of variables are these? How might you plot just 1 of the variables, and then tweak the plot to incorporate the other?
# How do 3pm temperatures (temp3pm) differ by location?# How might we predict the 3pm temperature (temp3pm) by the 9am temperature (temp9am)?# How do the number of rainy days (raintoday) differ by location?
4.4 Exercises (optional)
The above visualizations are foundational and important. But they’re not the only way to visualize the variables in our dataset.
Optional exercise 1: Dealing with lots of categories
Suppose we wanted to better understand how the 2020 Republican support varied from county to county within each state. Since repub_pct_20 is quantitative and state_abbr is categorical, we could make a density plot of repub_pct_20 for each state. Reflect and why this is bad:
ggplot(elections, aes(x = repub_pct_20, fill = state_abbr)) +
geom_density(alpha = 0.5)Warning: Groups with fewer than two data points have been dropped.
Warning in max(ids, na.rm = TRUE): no non-missing arguments to max; returning
-Inf

A facet wrap would also be bad!
ggplot(elections, aes(x = repub_pct_20)) +
geom_density(alpha = 0.5) +
facet_wrap(~ state_abbr)Warning: Groups with fewer than two data points have been dropped.
Warning in max(ids, na.rm = TRUE): no non-missing arguments to max; returning
-Inf

When we want to compare the distribution of some quantitative outcome among many groups / categories, a ridgeline plot can be a good option. These are also called joy plots, named after the album cover for “Unknown Pleasures” by Joy Division. (Look it up!) To make a ridgeline plot, we can use the geom_density_ridges() function in the ggridges package.
# Install ggridges package
library(ggridges)
# Make our first joy plot
# THINK: What DON'T you like about this?
ggplot(elections, aes(x = repub_pct_20, y = state_abbr)) +
geom_density_ridges()# Let's put the states in order by Republican support, not alphabet
# How do you think fct_reorder works? We'll learn about this later in the semester.
ggplot(elections, aes(x = repub_pct_20, y = fct_reorder(state_abbr, repub_pct_20))) +
geom_density_ridges(alpha = 0.5)# YOUR TURN: color/fill the ridges according to a state's historical voting patterns
# and add meaningful axis labelsFollow-up questions
- Which states tend to have the most variability in outcomes from county to county? The least?
- What other interesting patterns do you notice?
- Does this plot prompt any other questions?
Optional exercise 2: total outcomes by state
Let’s import some new data and counts up the total votes (Republican and Democratic) by state, not county. This was wrangled from the elections data!
elections_by_state <- read.csv("https://mac-stat.github.io/data/election_2020_by_state.csv")For example, we might make a scatterplot of the 2020 vs 2016 outcomes:
ggplot(elections_by_state, aes(y = repub_pct_20, x = repub_pct_16)) +
geom_point()
BUT this isn’t the easiest way to communicate or identify the changes from 1 year to the next.
# YOU TRY
# Start by creating a "scatterplot" of state_abbr (y-axis) by 2020 Republican support on the x-axis
# Color the points red
# Scroll to solutions below when you're ready# Check it out
ggplot(elections_by_state, aes(x = repub_pct_20, y = state_abbr)) +
geom_point(color = "red")
# YOU TRY
# Reorder the states in terms of their 2020 Republican support (not alphabet)
# Scroll to solutions below when you're ready# Check it out
ggplot(elections_by_state, aes(x = repub_pct_20, y = fct_reorder(state_abbr, repub_pct_20))) +
geom_point(color = "red")
# Finally, add ANOTHER layer of points for the 2016 outcomes
# What info does this new geom_point() layer need to run?
ggplot(elections_by_state, aes(x = repub_pct_20, y = fct_reorder(state_abbr, repub_pct_20))) +
geom_point(color = "red") +
geom_point(aes(x = repub_pct_16, y = state_abbr))
Reflect on the following
- What do you think this plot needs? Try it! You might need to do some digging online.
- Summarize the main takeaways from the plots. Which states changed the most from 2016 to 2020? The least? Where did the Republican support increase? Where did it decrease?
- What other questions are you left with?
4.5 Solutions
Click for Solutions
# Import data
survey <- read.csv("https://mac-stat.github.io/data/112_fall_2024_survey.csv")
# How many students have now filled out the survey?
nrow(survey)[1] 98
# What type of variables do we have?
str(survey)'data.frame': 98 obs. of 4 variables:
$ cafe_mac : chr "Cheesecake" "Cheese pizza" "udon noodles" "egg rolls" ...
$ minutes_to_campus: int 15 10 4 7 5 35 5 15 7 20 ...
$ fave_temp : num 18 24 18 10 18 7 75 24 13 16 ...
$ hangout : chr "the mountains" "a beach" "the mountains" "a beach" ...
EXAMPLE 1: Hangout preferences
# Attach a package needed to use the ggplot function
library(tidyverse)
# Make a ggplot
ggplot(survey, aes(x = hangout)) +
geom_bar()
EXAMPLE 2: Temperature preferences
ggplot(survey, aes(x = fave_temp)) +
geom_histogram(color = "white", binwidth = 5)
ggplot(survey, aes(x = fave_temp)) +
geom_density()
4.5.1 Exercise 0:
ggplot(elections, aes(x = winner_20)) +
geom_bar()
ggplot(elections, aes(x = repub_pct_20)) +
geom_histogram(color = "white")`stat_bin()` using `bins = 30`. Pick better value with `binwidth`.

ggplot(elections, aes(x = repub_pct_20)) +
geom_density()
Exercise 1: quantitative vs quantitative intuition check
See next exercise.
Exercise 2: 2 quantitative variables
# Set up the plotting frame
# How does this differ than the frame for our histogram of repub_pct_20 alone?
# ANSWER: we added a y-axis variable
ggplot(elections, aes(y = repub_pct_20, x = repub_pct_16))
# Add a layer of points for each county
# Take note of the geom: geom_point
ggplot(elections, aes(y = repub_pct_20, x = repub_pct_16)) +
geom_point()
# Change the shape of the points
# What happens if you change the shape to another number?
ggplot(elections, aes(y = repub_pct_20, x = repub_pct_16)) +
geom_point(shape = 3)
# YOU TRY: Modify the code to make the points "orange"
# NOTE: Try to anticipate if "color" or "fill" will be useful here. Then try both.
ggplot(elections, aes(y = repub_pct_20, x = repub_pct_16)) +
geom_point(color = "orange")
# Add a layer that represents each county by the state it's in
# Take note of the geom and the info it needs to run!
ggplot(elections, aes(y = repub_pct_20, x = repub_pct_16)) +
geom_text(aes(label = state_abbr))
Exercise 3: Reflect
There’s a strong, positive association – the higher the Republican support in 2016, the higher it was in 2020. There are some counties in Texas and Utah where the R support in 2020 was disproportionately higher than in 2016.
Exercise 4: Visualizing trend
ggplot(elections, aes(y = repub_pct_20, x = repub_pct_16)) +
geom_point() +
geom_smooth()`geom_smooth()` using method = 'gam' and formula = 'y ~ s(x, bs = "cs")'

Part a
ggplot(elections, aes(y = repub_pct_20, x = repub_pct_16)) +
geom_smooth()`geom_smooth()` using method = 'gam' and formula = 'y ~ s(x, bs = "cs")'

Part b
ggplot(elections, aes(y = repub_pct_20, x = repub_pct_16)) +
geom_point() +
geom_smooth(method = "lm")`geom_smooth()` using formula = 'y ~ x'

Exercise 5: Your turn
There’s a moderate, positive association between R support and median age – the older the average age in a county, the higher the R support tends to be. However, there’s a stronger, negative association between R support and median rent – the higher the rent (a proxy for cost of living), the lower the R support tends to be.
# Scatterplot of repub_pct_20 vs median_rent
ggplot(elections, aes(y = repub_pct_20, x = median_rent)) +
geom_point() 
# Scatterplot of repub_pct_20 vs median_age
ggplot(elections, aes(y = repub_pct_20, x = median_age)) +
geom_point() 
Exercise 6: A sad scatterplot
See next exercise.
Exercise 7: quantitative vs categorical – violins & boxes
# Side-by-side violin plots
ggplot(elections, aes(y = repub_pct_20, x = historical)) +
geom_violin()
# Side-by-side boxplots (defined below)
ggplot(elections, aes(y = repub_pct_20, x = historical)) +
geom_boxplot()
REFLECT:
There’s quite a bit of range in county-level R support within blue, purple, and red states. However, R support tends to be higher in red states and lower in blue states.
Exercise 8: quantitative vs categorical – intuition check
See next exercise.
Exercise 9: quantitative vs categorical – density plots
# The colors used don't match up with the blue, purple, red labels
# The density plots are on top of each other
ggplot(elections, aes(x = repub_pct_20, fill = historical)) +
geom_density()
# scale_fill_manual "hard codes" or defines what colors to use for the fill categories
ggplot(elections, aes(x = repub_pct_20, fill = historical)) +
geom_density() +
scale_fill_manual(values = c("blue", "purple", "red"))
# alpha = 0.5 adds transparency
# the closer alpha is to 0, the more transparent.
# the closer alpha is to 1, the more opaque.
ggplot(elections, aes(x = repub_pct_20, fill = historical)) +
geom_density(alpha = 0.5) +
scale_fill_manual(values = c("blue", "purple", "red"))
# facet_wrap separates the density plots into "facets" for each historical group
ggplot(elections, aes(x = repub_pct_20, fill = historical)) +
geom_density() +
scale_fill_manual(values = c("blue", "purple", "red")) +
facet_wrap(~ historical)
# Let's try a similar grouping strategy with a histogram instead of density plot.
# Why is this terrible?
ggplot(elections, aes(x = repub_pct_20, fill = historical)) +
geom_histogram(color = "white") +
scale_fill_manual(values = c("blue", "purple", "red"))`stat_bin()` using `bins = 30`. Pick better value with `binwidth`.

Exercise 10
One pro of density plots relative to boxplots: doesn’t oversimplify the data / boil the data down to just 5 numbers.
Name one con of density plots relative to boxplots: boxplots can be easier to interpret
Exercise 11: categorical vs categorical intuition check
see exercise below
Exercise 12: categorical vs categorical
# A stacked bar plot
# historical = x axis / bar categories
# winner_20 = fills the bars
ggplot(elections, aes(x = historical, fill = winner_20)) +
geom_bar()
# A faceted bar plot
ggplot(elections, aes(x = winner_20)) +
geom_bar() +
facet_wrap(~ historical)
# A side-by-side bar plot
# Note the new argument to geom_bar
ggplot(elections, aes(x = historical, fill = winner_20)) +
geom_bar(position = "dodge")
# A proportional bar plot
# Note the new argument to geom_bar
ggplot(elections, aes(x = historical, fill = winner_20)) +
geom_bar(position = "fill")
Part a
pro = easier to compare the relative outcomes in blue vs purple vs red states con = lose track of how many counties fall into blue vs purple vs red states
Exercise 13: Practice (now or later)
weather <- read.csv("https://mac-stat.github.io/data/weather_3_locations.csv")
# How do 3pm temperatures (temp3pm) differ by location?
ggplot(weather, aes(x = temp3pm, fill = location)) +
geom_density(alpha = 0.5)Warning: Removed 19 rows containing non-finite outside the scale range
(`stat_density()`).

ggplot(weather, aes(y = temp3pm, x = location)) +
geom_boxplot()Warning: Removed 19 rows containing non-finite outside the scale range
(`stat_boxplot()`).

# How might we predict the 3pm temperature (temp3pm) by the 9am temperature (temp9am)?
ggplot(weather, aes(y = temp3pm, x = temp9am)) +
geom_point()Warning: Removed 27 rows containing missing values or values outside the scale range
(`geom_point()`).

# How do the number of rainy days (raintoday) differ by location?
ggplot(weather, aes(x = location, fill = raintoday)) +
geom_bar()
Optional exercise 1: Dealing with lots of categories
# Install ggridges package
library(ggridges)
# Make our first joy plot
# THINK: What DON'T you like about this?
ggplot(elections, aes(x = repub_pct_20, y = state_abbr)) +
geom_density_ridges()Picking joint bandwidth of 4.43

# Let's put the states in order by Republican support, not alphabet
# How do you think fct_reorder works? We'll learn about this later in the semester.
ggplot(elections, aes(x = repub_pct_20, y = fct_reorder(state_abbr, repub_pct_20))) +
geom_density_ridges(alpha = 0.5)Picking joint bandwidth of 4.43

# YOUR TURN: color/fill the ridges according to a state's historical voting patterns
# and add meaningful axis labels
ggplot(elections, aes(x = repub_pct_20, y = fct_reorder(state_abbr, repub_pct_20), fill = historical)) +
geom_density_ridges(alpha = 0.5) +
labs(y = "state", x = "2020 Republican support (%)") +
scale_fill_manual(values = c("blue", "purple", "red"))Picking joint bandwidth of 4.43

Optional exercise 2: total outcomes by state
elections_by_state <- read.csv("https://mac-stat.github.io/data/election_2020_by_state.csv")
ggplot(elections_by_state, aes(y = repub_pct_20, x = repub_pct_16)) +
geom_point()
# YOU TRY
# Start by creating a "scatterplot" of state_abbr (y-axis) by 2020 Republican support on the x-axis
# Color the points red
ggplot(elections_by_state, aes(x = repub_pct_20, y = state_abbr)) +
geom_point(color = "red")
# YOU TRY
# Reorder the states in terms of their 2020 Republican support (not alphabet)
ggplot(elections_by_state, aes(x = repub_pct_20, y = fct_reorder(state_abbr, repub_pct_20))) +
geom_point(color = "red")
# Finally, add ANOTHER layer of points for the 2016 outcomes
# What info does this new geom_point() layer need to run?
ggplot(elections_by_state, aes(x = repub_pct_20, y = fct_reorder(state_abbr, repub_pct_20))) +
geom_point(color = "red") +
geom_point(aes(x = repub_pct_16, y = state_abbr))